TNBC Survival: What You Need To Know

L.Audent 69 views
TNBC Survival: What You Need To Know

TNBC Survival: What You Need to Know

Hey there, cancer fighters and supporters! Let’s dive into something super important: Triple-Negative Breast Cancer (TNBC) survival rates . If you’re here, you’re likely looking for information, hope, or maybe just a better understanding of what to expect. This isn’t just about numbers; it’s about the lives they represent and the journey you or your loved ones are on. So, grab a comfy seat, and let’s break it down together, keeping it real and easy to understand. We’ll explore the factors affecting survival, how treatment plays a role, and what the future might hold for TNBC patients. Remember, knowledge is power, and we’re in this together!

Understanding Triple-Negative Breast Cancer

First off, what is Triple-Negative Breast Cancer ? Well, it’s a specific type of breast cancer that’s defined by what it doesn’t have. Unlike other breast cancers, TNBC lacks the estrogen receptors, progesterone receptors, and the HER2 protein. This means that treatments that target these receptors, like hormone therapy (for estrogen and progesterone receptors) or drugs that target HER2, won’t work. That’s why TNBC often needs to be tackled with different approaches. TNBC accounts for about 10-20% of all breast cancers, and it tends to be more aggressive, growing and spreading faster than some other types. It’s also more likely to affect younger women and those of African American or Hispanic descent.

So, it’s a bit of a different beast, requiring a tailored approach. Because TNBC is “triple-negative,” doctors can’t use hormone therapies like they can with other breast cancers. The mainstays of treatment are typically chemotherapy, surgery, and sometimes radiation. The good news is that advancements in treatments are continuously being made, which is improving survival rates and providing more options for patients. Remember, early detection is key, and if you have any concerns or notice changes in your breasts, get it checked out ASAP. Understanding the basics helps you be an active participant in your healthcare journey, ask the right questions, and stay informed about your options.

Navigating a cancer diagnosis can feel overwhelming, but knowing the specifics of your type of cancer is a crucial first step. TNBC’s aggressive nature means regular check-ups and a proactive approach to your health are essential. The goal is always to catch it early and treat it effectively. So, staying informed and working closely with your medical team is crucial. They are your allies in this fight, and they’re there to guide you through every step. Stay strong, keep asking questions, and never lose hope. You got this, and you’re not alone in this fight.

The Importance of Early Detection and Diagnosis

Early detection of TNBC is absolutely critical, guys. Why? Because the sooner you catch it, the better the chances of successful treatment and a longer, healthier life. Think of it like this: the earlier the cancer is detected, the less it has a chance to spread and cause further problems. Regular screenings, like mammograms (for those who are eligible), and self-exams are essential tools. Be aware of your body, and don’t hesitate to see a doctor if you notice any changes.

So, what are we looking out for? Common symptoms include a lump in the breast, changes in the size or shape of the breast, nipple discharge, or skin changes. If you spot something unusual, don’t wait. Schedule an appointment with your doctor right away. Time is of the essence. Also, you’ll need a biopsy to diagnose TNBC definitively. This involves taking a small tissue sample from the suspicious area and analyzing it. The biopsy results will confirm if it’s cancer and help determine whether it’s TNBC. This information helps your medical team decide the best course of treatment. The process may seem daunting, but it’s a vital step in getting the right care. Early detection can make a world of difference. It allows for a more focused treatment plan, potentially less aggressive treatments, and a higher chance of successful outcomes. Make those screenings and self-exams a part of your routine. Be proactive about your health, and remember, early detection could save your life.

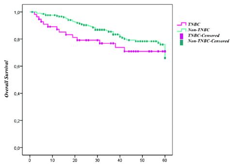
Survival Rates for TNBC: What the Numbers Tell Us

Alright, let’s talk numbers, folks. Survival rates for TNBC are a key indicator of how well people with this type of cancer are doing. It’s important to remember that these are just statistics and that every individual’s experience is unique. These rates are based on large groups of people, and your personal prognosis may vary.

The five-year survival rate is a common metric. It tells you the percentage of people who are still alive five years after their diagnosis. For TNBC, this rate is generally lower compared to other types of breast cancer, but that doesn’t tell the whole story. Factors such as the stage of the cancer when it was diagnosed, the person’s overall health, and the treatment received all play a significant role. Survival rates can provide a general idea of the outlook, but they can’t predict your individual journey. The good news is that, because of advancements in treatment, these rates are improving. Ongoing research and clinical trials are constantly exploring new and more effective ways to fight TNBC. Stay informed about the latest breakthroughs and discuss them with your medical team. Also, remember to look at the numbers with a balanced perspective. It’s essential to understand that they’re a snapshot of outcomes based on data from the past. The treatments and knowledge available today are often much more advanced, which could improve your chances. It’s important to focus on what you can control: getting the best care, maintaining a healthy lifestyle, and staying positive.

Understanding the Five-Year Survival Rate

The five-year survival rate is a common statistic in cancer care, and it refers to the percentage of patients who are still alive five years after their diagnosis. It’s a way for doctors and researchers to measure progress in treating the disease. For TNBC , the five-year survival rate tends to be lower than for other types of breast cancer because TNBC is often more aggressive. However, this rate can vary significantly depending on several factors, including the stage of the cancer at diagnosis, the specific treatment received, and the patient’s overall health.

For example, if the cancer is caught early (stage 1 or 2), the survival rates are often much higher than if it’s diagnosed at a later stage (stage 3 or 4). The type of treatment also makes a huge difference. Surgery, chemotherapy, and radiation are standard treatments, and the combination of these therapies can greatly impact the outcome. Additionally, access to quality healthcare, participation in clinical trials, and a strong support system can all influence survival rates. While the five-year survival rate provides a general idea of the outlook, it’s essential to understand that it’s a broad statistic and does not predict your individual outcome. Everyone’s journey with TNBC is different. It is important to discuss your prognosis and treatment options with your doctor. They can give you a more personalized assessment based on your specific situation.

Factors Affecting TNBC Survival

So, what influences the odds? Several factors can make a difference in how well someone does with TNBC . These factors work together to shape a person’s experience with the disease, and understanding them can help you and your medical team make informed decisions. Let’s break down some of the most critical factors:

  • Stage at Diagnosis: This is huge! The stage of the cancer—how big the tumor is and whether it has spread—is a major predictor of survival. Early-stage TNBC has a better prognosis than advanced-stage TNBC. This is why early detection is critical. The sooner it’s found, the better the chances of successful treatment. Regular screenings and self-exams are essential to catching any changes early.
  • Treatment: The type and effectiveness of the treatment plan make a huge difference. Typically, TNBC is treated with chemotherapy, sometimes followed by surgery and/or radiation. The specific drugs used in chemotherapy, the order in which treatments are given, and the response of the cancer to the treatment all play a role. Also, new treatments like immunotherapy are showing promising results in clinical trials. Staying informed about treatment options and working closely with your oncologist is crucial.
  • Overall Health: Someone’s general health, including pre-existing conditions and lifestyle choices, can affect survival. People who are generally healthier and stronger tend to handle treatment better and have better outcomes. Maintaining a healthy lifestyle—eating a balanced diet, exercising regularly, and getting enough sleep—can improve your chances. Managing any other health issues you have, like diabetes or heart disease, is also important.
  • Age and Ethnicity: While TNBC can affect anyone, it is more common in younger women and those of African American or Hispanic descent. Age and ethnicity can influence both the likelihood of developing TNBC and the response to treatment. Research continues to explore these differences to personalize treatment plans better.
  • Access to Healthcare: Having access to quality medical care and the ability to get timely treatment greatly affects survival rates. This includes having access to specialists, clinical trials, and the latest treatment options. Access to support services, such as counseling and support groups, can also improve quality of life and outcomes. Understanding these factors can help you make informed decisions about your care and work closely with your medical team. Also, remember that every individual’s journey with TNBC is unique, and you can influence your outcome.

The Role of Treatment in TNBC Survival

Treatment is a major player in TNBC survival . Because TNBC doesn’t respond to hormonal therapies, the focus is typically on chemotherapy, surgery, and radiation. Depending on the stage and other factors, treatment plans are tailored to each person.

Chemotherapy is usually the first line of defense. Chemotherapy drugs work by killing cancer cells or stopping them from growing. The specific drugs and the order in which they’re given can vary, but the goal is to shrink the tumor and prevent the cancer from spreading. Surgery is often used to remove the tumor and surrounding tissue. The extent of the surgery depends on the size and location of the tumor and whether the cancer has spread to the lymph nodes. After surgery, radiation therapy might be used to kill any remaining cancer cells in the area. The effectiveness of these treatments depends on several things, including the specific drugs used, the dosage, and the individual’s response to treatment. Research is constantly evolving, and new treatments are emerging. Immunotherapy and targeted therapies are showing promise in clinical trials, offering new hope. Your medical team will monitor your progress throughout treatment. They will make adjustments as needed based on how your body is responding. Also, remember to discuss any side effects with your doctors. They can help you manage them and make your treatment more tolerable. The best approach is to be proactive, ask questions, and stay informed about your options. Effective treatment is essential, and working with your medical team to create a personalized plan is key to improving survival rates and quality of life.

Advancements in TNBC Treatment and Research

Good news, folks! The field of TNBC treatment is constantly evolving, with new advancements happening all the time. Researchers are working hard to improve outcomes for TNBC patients, and there are promising developments to watch out for.

One of the most exciting areas is immunotherapy. This treatment uses the body’s immune system to fight cancer. Immunotherapy drugs, such as checkpoint inhibitors, are showing promising results in clinical trials for TNBC. These drugs help the immune system recognize and attack cancer cells more effectively. Another area of focus is targeted therapies. Researchers are identifying specific targets on TNBC cells and developing drugs to attack those targets. This approach can be more precise and have fewer side effects than traditional chemotherapy. Another area of progress is in the development of new chemotherapy drugs and combinations. Scientists are constantly testing new drugs and treatment regimens to find more effective ways to fight TNBC. Also, research into personalized medicine is also growing. By analyzing the genetic makeup of a patient’s tumor, doctors can tailor treatment plans to be more effective. Clinical trials are a vital part of advancing treatment. These studies test new drugs and treatment approaches, and they give patients access to the latest therapies. The research also focuses on improving early detection methods, identifying new biomarkers, and understanding the biology of TNBC better. Staying informed about these advancements is key. So, talk to your doctor, do your research, and consider participating in a clinical trial if it’s an option. By staying informed, you can be proactive in your care and benefit from the latest innovations in TNBC treatment. The future looks bright, and there’s a lot of hope for continued progress.

The Role of Clinical Trials

Clinical trials play a vital role in advancing treatment for TNBC. These trials are research studies that test new drugs, treatment approaches, and ways to improve patient care. They offer the potential to access the latest therapies and help to improve outcomes for others in the future. Participating in a clinical trial can be a major decision, but it’s an opportunity to contribute to scientific progress and potentially benefit from cutting-edge treatments.

Clinical trials are designed to evaluate the safety and effectiveness of new treatments. Participants in trials receive either the new treatment or a standard treatment, and their progress is carefully monitored. The data gathered from these trials helps researchers learn more about the disease and develop more effective treatments. Also, clinical trials can offer hope and access to innovative therapies that might not be available otherwise. Also, they provide the opportunity to be closely monitored by a team of specialists. Also, participating in a clinical trial is a significant commitment. You’ll need to be willing to attend regular appointments, follow the study protocol, and report any side effects or changes in your condition. Also, it’s essential to discuss the risks and benefits of a clinical trial with your doctor and learn about the trial’s requirements and procedures. The information helps you make an informed decision. While not all clinical trials are successful, they play a crucial role in advancing medicine and offering hope for a better future. They are a powerful tool in the fight against TNBC. If you’re interested in learning more, talk to your doctor or visit the National Cancer Institute’s website for information about clinical trials.

Living with and Beyond TNBC: Quality of Life and Support

Okay, so what about life after the diagnosis and treatment? Living with and beyond TNBC means focusing on your quality of life. It’s about not just surviving but thriving. This involves several things, including managing side effects from treatment, maintaining a healthy lifestyle, and seeking emotional and practical support.

Managing side effects is a big part of this. Chemotherapy, surgery, and radiation can cause fatigue, nausea, pain, and other issues. Your medical team can offer treatments and strategies to help you cope with these side effects. Eating a healthy diet, exercising regularly (if possible), and getting enough rest are essential. These things can improve your physical and emotional well-being. Finding emotional and practical support is also important. This might involve joining a support group, seeing a therapist, or connecting with other TNBC survivors. Support groups provide a place to share experiences, gain advice, and build connections with others who understand what you’re going through. Family and friends can also play a vital role in your support system. Let them know what you need, and don’t be afraid to ask for help. Also, focus on what matters most to you. Whether it’s spending time with loved ones, pursuing hobbies, or setting new goals, do the things that bring you joy. Staying positive and finding meaning in your life can make a big difference. Living with and beyond TNBC is about more than just survival. It’s about living a fulfilling life. By focusing on your well-being, seeking support, and staying positive, you can improve your quality of life and navigate this journey with strength and resilience.

Building a Strong Support System

Having a strong support system is essential for anyone dealing with TNBC. It’s like having a team of cheerleaders, coaches, and friends all rooting for you. A support system can provide emotional, practical, and social support.

Family and friends are often the first line of support. Lean on them, share your feelings, and let them know what you need. They can provide comfort, practical help, and a sense of normalcy. Also, support groups are a great way to connect with others who are going through similar experiences. These groups can be in person or online, and they offer a safe space to share your feelings, gain advice, and learn from others. Therapists, counselors, and social workers can also be valuable members of your support team. They can help you cope with the emotional challenges of cancer and provide strategies for managing stress and anxiety. Also, think about the value of spiritual support. If faith is important to you, consider connecting with a religious leader or community. This can provide comfort, strength, and a sense of hope. Build your support system. It doesn’t matter if it’s big or small; what matters is that it provides you with the support you need. A strong support system can make a significant difference in your journey with TNBC. It improves your quality of life and can improve your outcomes.

The Future of TNBC: Research and Hope

Let’s look ahead, guys! The future of TNBC is bright with hope, thanks to ongoing research and advancements. Scientists and doctors worldwide are working tirelessly to find better treatments, improve survival rates, and improve the quality of life for those affected by TNBC.

Research is focused on several key areas. One of these is finding new therapies, including immunotherapies, targeted therapies, and new combinations of chemotherapy drugs. Researchers are also working on improving early detection methods. This will lead to earlier diagnoses and a better chance of successful treatment. Another focus is on understanding the biology of TNBC. Scientists are trying to learn more about the specific genetic and molecular changes that drive TNBC, which helps them develop more effective treatments. Also, personalized medicine is a growing area. This approach tailors treatment to each individual’s unique tumor characteristics, making treatment more effective and reducing side effects. Also, clinical trials are at the forefront of this progress. These studies test new treatments and strategies, giving patients access to the latest therapies and helping to advance medical knowledge. Also, the continued advancements in technology and our understanding of cancer mean the future is bright. Stay informed, stay hopeful, and remember that progress is being made. You are not alone, and there is a whole community of people working hard to improve the future of TNBC.

Promising Areas of Research and Innovation

There’s a lot of exciting stuff happening in TNBC research, and it’s giving us a lot of hope for the future. Researchers are working on new treatments, diagnostic tools, and ways to improve the quality of life for those affected. Here are some of the promising areas:

  • Immunotherapy: This is one of the most exciting areas. Immunotherapy uses the body’s immune system to fight cancer, and it’s showing promise in clinical trials for TNBC. Drugs called checkpoint inhibitors are helping the immune system recognize and attack cancer cells more effectively.
  • Targeted Therapies: These therapies target specific molecules or pathways involved in cancer growth. Researchers are looking for unique targets on TNBC cells to develop drugs that are more effective and have fewer side effects.
  • New Chemotherapy Combinations: Scientists are constantly testing new combinations of chemotherapy drugs to find more effective ways to kill cancer cells.
  • Personalized Medicine: This approach tailors treatment to each individual’s tumor characteristics. By analyzing the genetic makeup of a tumor, doctors can create more effective and personalized treatment plans.
  • Liquid Biopsies: This method involves analyzing blood samples to detect cancer cells or DNA. This can help monitor the disease and guide treatment decisions. Also, researchers are also working to improve early detection methods. This is to increase the chances of successful treatment. It’s an exciting time in TNBC research. If you’re interested in learning more, talk to your doctor or look for information from trusted sources like the National Cancer Institute or the American Cancer Society. The future looks bright, and there’s a lot of hope for continued progress in the fight against TNBC.