ICBSE Class 10 AI Sample Paper 2025: Ace Your Exam!
ICBSE Class 10 AI Sample Paper 2025: Ace Your Exam!
Hey guys! Are you gearing up for your ICBSE Class 10 Artificial Intelligence exam in 2025? Well, you’ve landed in the right spot! This article is your ultimate guide to understanding the exam pattern, getting access to sample papers, and strategizing your preparation. Let’s dive in and make sure you’re totally ready to rock that AI exam!
Table of Contents
- Why Artificial Intelligence in Class 10?
- Understanding the ICBSE Class 10 AI Exam Pattern
- Key Topics Covered
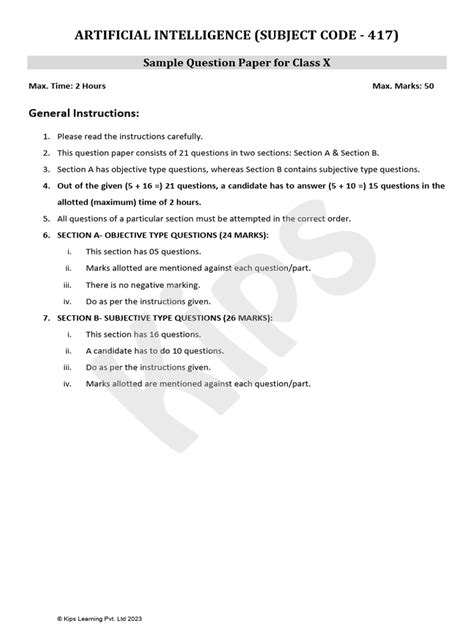
- How to Download the ICBSE Class 10 AI Sample Paper 2025
- Step-by-Step Guide
- Tips and Tricks to Ace the AI Exam
- Effective Study Strategies
- Resources for Further Learning
- Recommended Websites and Books
- Wrapping Up
Why Artificial Intelligence in Class 10?
So, why is everyone talking about Artificial Intelligence (AI) in Class 10? Well, AI is no longer a futuristic concept; it’s shaping our present and will undoubtedly dominate our future . Introducing AI at the school level aims to equip you with the foundational knowledge and skills needed to navigate this rapidly evolving landscape. Understanding AI concepts early on will not only help you in academics but also open doors to exciting career opportunities in the future. From robotics and automation to data analysis and machine learning, the possibilities are endless! The ICBSE curriculum is designed to provide a comprehensive introduction to AI, covering key areas such as problem-solving, data handling, and ethical considerations. By mastering these concepts, you’ll be well-prepared to tackle real-world challenges and contribute to the development of innovative AI solutions. Think about it – you could be the one designing the next generation of smart devices, developing AI-powered healthcare solutions, or creating more efficient and sustainable technologies. So, embrace the opportunity to learn AI and unlock your potential to shape the future! The curriculum also emphasizes hands-on learning through projects and activities, allowing you to apply your knowledge and develop practical skills. This approach ensures that you not only understand the theory but also gain the ability to implement AI solutions in various contexts. Furthermore, studying AI encourages critical thinking, creativity, and collaboration – essential skills for success in any field. By engaging with AI concepts, you’ll learn to analyze complex problems, generate innovative solutions, and work effectively with others to achieve common goals. This holistic approach to learning will prepare you not only for future studies in AI but also for a wide range of careers that require adaptability, problem-solving skills, and a strong understanding of technology. So, get excited about AI and embark on a journey of discovery and innovation!
Understanding the ICBSE Class 10 AI Exam Pattern
First things first, let’s break down the ICBSE Class 10 AI exam pattern. Knowing the blueprint is half the battle won, right? The exam is typically structured to assess your understanding of AI concepts, your ability to apply these concepts to solve problems, and your critical thinking skills. Expect a mix of question types, including multiple-choice questions (MCQs), short answer questions, and long answer questions. MCQs will test your knowledge of basic AI concepts and terminology. Short answer questions will require you to explain key ideas and processes in your own words. Long answer questions will challenge you to analyze complex scenarios, propose solutions, and justify your reasoning. In addition to theoretical questions, the exam may also include practical questions that require you to apply AI techniques to solve real-world problems. This could involve tasks such as designing a simple AI model, analyzing data to identify patterns, or evaluating the ethical implications of AI applications. The weightage of each question type may vary, so it’s important to familiarize yourself with the specific exam pattern provided by ICBSE. Pay close attention to the marking scheme and the time allocated for each section to plan your exam strategy effectively. Remember, time management is crucial for success in any exam. Practice solving sample papers and previous years’ question papers to get a feel for the exam pattern and the types of questions that are typically asked. This will also help you identify your strengths and weaknesses, allowing you to focus your preparation on areas where you need improvement. Furthermore, stay updated with any changes or modifications to the exam pattern announced by ICBSE. Check the official ICBSE website regularly for the latest updates and notifications. By understanding the exam pattern thoroughly, you can approach the exam with confidence and maximize your chances of scoring high marks. So, take the time to analyze the exam structure, plan your preparation accordingly, and get ready to ace that AI exam!
Key Topics Covered
Here’s a sneak peek at some of the key topics you can expect in the ICBSE Class 10 AI exam: Introduction to AI, Machine Learning Basics, Data and its importance, AI Project Cycle, and Ethical Considerations in AI.
How to Download the ICBSE Class 10 AI Sample Paper 2025
Okay, now for the juicy part – getting your hands on the ICBSE Class 10 AI sample paper 2025! Sample papers are like gold, guys . They give you a real feel for the actual exam, the types of questions asked, and the difficulty level. So, where can you find these precious resources? The primary source for official sample papers is the ICBSE website. Head over to the official ICBSE academic website and navigate to the section for Class 10 sample papers. Look for the AI subject and the year 2025. You should find a downloadable PDF version of the sample paper. If you are unable to find the sample paper on the ICBSE website, don’t worry! There are other resources you can explore. Many educational websites and online learning platforms offer ICBSE Class 10 AI sample papers for free download. Just make sure that the sample papers you download are based on the latest syllabus and exam pattern. To ensure the authenticity of the sample paper, look for the ICBSE logo or watermark on the document. This will give you confidence that you are using a genuine sample paper. Once you have downloaded the sample paper, take a printout for easy reference. Solving the sample paper in a simulated exam environment will give you a realistic experience and help you assess your preparation level. Pay attention to the time limit and try to complete the paper within the allotted time. After completing the sample paper, evaluate your performance and identify areas where you need to improve. Focus on strengthening your understanding of the concepts and practicing more questions on those topics. By solving multiple sample papers, you can familiarize yourself with the exam pattern, improve your time management skills, and boost your confidence. So, don’t wait any longer! Download the ICBSE Class 10 AI sample paper 2025 and start your exam preparation today!
Step-by-Step Guide
- Visit the official ICBSE website.
- Navigate to the ‘Academics’ or ‘Curriculum’ section.
- Look for ‘Sample Papers’ or ‘Question Papers’.
- Select ‘Class 10’ and then ‘Artificial Intelligence’.
- Download the ‘ICBSE Class 10 AI Sample Paper 2025’.
Tips and Tricks to Ace the AI Exam
Alright, let’s move on to some killer tips and tricks to help you ace that AI exam! These strategies will give you that extra edge you need . First and foremost, understand the fundamentals. AI is built on a foundation of mathematical and logical concepts, so make sure you have a solid grasp of these basics. Review key concepts such as algorithms, data structures, probability, and statistics. Use textbooks, online resources, and practice problems to reinforce your understanding. Pay special attention to the AI Project Cycle, as it forms the backbone of many AI applications. Understand each stage of the cycle, from problem definition to data collection, model building, and evaluation. Practice applying the AI Project Cycle to different scenarios to develop your problem-solving skills. Data is the lifeblood of AI, so make sure you understand the different types of data and how to handle them. Learn about data cleaning, preprocessing, and visualization techniques. Practice working with datasets using tools such as spreadsheets or programming languages like Python. Machine learning is a core component of AI, so familiarize yourself with the different types of machine learning algorithms. Understand the difference between supervised learning, unsupervised learning, and reinforcement learning. Practice applying these algorithms to solve real-world problems. Ethical considerations are becoming increasingly important in AI, so be aware of the ethical implications of AI applications. Consider issues such as bias, fairness, transparency, and accountability. Discuss these issues with your classmates and teachers to develop a nuanced understanding of the ethical challenges in AI. In addition to studying the theory, practice solving as many problems as possible. Work through examples in your textbook, solve sample papers, and try coding challenges. The more you practice, the more confident you will become. Form study groups with your classmates to discuss concepts, share notes, and solve problems together. Teaching others is a great way to reinforce your own understanding. Finally, stay calm and confident on the day of the exam. Get a good night’s sleep, eat a healthy breakfast, and arrive at the exam center early. Read the instructions carefully, manage your time effectively, and don’t panic if you encounter a difficult question. Remember, you have prepared well, and you are capable of acing the exam. So, believe in yourself, stay focused, and give it your best shot!
Effective Study Strategies
- Create a Study Schedule: Plan your study sessions and allocate specific time slots for each topic.
- Focus on Understanding: Don’t just memorize; understand the underlying concepts.
- Practice Regularly: Solve sample papers and previous year’s question papers.
- Seek Clarification: Don’t hesitate to ask your teachers or classmates for help.
Resources for Further Learning
Want to dive deeper into the world of AI? Here are some awesome resources to check out: Online courses on platforms like Coursera and Udacity, AI textbooks recommended by your teachers, and AI-related websites and blogs.
Recommended Websites and Books
- Websites: TensorFlow, Keras, Towards Data Science
- Books: “Artificial Intelligence: A Modern Approach” by Stuart Russell and Peter Norvig, “Hands-On Machine Learning with Scikit-Learn, Keras & TensorFlow” by Aurélien Géron
Wrapping Up
So there you have it – your ultimate guide to conquering the ICBSE Class 10 AI exam in 2025! Remember, preparation is key, and with the right strategies and resources, you’ll be well on your way to success. Good luck, and go ace that exam!